Химический редактор онлайн - Инструкция


Химический редактор онлайн делает простым написание любых статей химической тематики. Основное отличие от большинства других подобных редакторов заключается в том, что этот построен на обычном редакторе интернет-статей, но с добавлением встроенного редактора молекул, а также некоторых других дополнительных химических кнопок. Поэтому не требуется сохранять каждую реакцию в виде отдельной картинки. Вместо этого реакция набирается преимущественно как текст, за исключением того, что для ввода структурных формул используется встроенный молекулярный редактор. Изображение молекулы в виде векторной графики встраивается сразу и непосредственно в то место статьи, где находился курсор. Таким образом, существенно экономится время, когда требуется написать целую статью, а не рисовать отдельно взятую молекулу.


Краткий перечень функциональности:

1. Форматирование реакций (автоматическое опускание индексов, стрелки →⇔↑↓), указание условий протекания реакций над стрелкой (видео);

2. Реакции со структурными формулами органических соединений (видео с примером написания реакции и сохранением на компьютере в формате html, видео с добавлением атомов водорода, видео с изменением размера соединений);

3. Сохранение структурных формул органических соедиений в формате картинки, т.е. png;

4. Использование библиотеки структурных формул органических соединений (SL);

5. Печать в формате pdf, сохранение на компьютере в формате html. Для редактирования файл нужно снова загрузить в редактор.

6. Редактор можно использовать для создания статей, лекций, карточек, заметок, контрольных работ (особенно в случае уроков по органической химии).


Подробнее:

Сверху расположены кнопки в три ряда. Они нужны для форматирования текста или вставки различных элементов web-страницы. Особо обращаем Ваше внимание на кнопки справа в среднем ряду, немного отличающиеся по цветовой гамме от остальных, чёрно-белых стандартных кнопок. Это - химические кнопки:

Кнопки

Кнопка с буквой K позволяет запустить молекулярный редактор Ketcher, он служит для добавления структурных формул различных молекул. В нём советуем обратить внимание на кнопку SL в нижнем ряду, это библиотека структурных элементов. В ней можно выбрать уже готовую молекулу, чтобы не рисовать её вручную :

Кнопки

Если атомы водорода отображаются не все, то в этом видео показано как их добавить.

Выбираем в библиотеке нужное соединение, и добавляем на экран. Далее, нажав правую кнопку мыши, можно выбрать "Remove abbreviation", чтобы отобразилась только структурная формула без названия:

Кнопки Кнопки

Если нажать OK, то созданная молекула отобразится в тексте Вашего редактируемого документа. Если нужно сохранить картинку с нарисованной молекулой на компьютер в формате png, то нужно нажать "Сохранить" и выбрать формат "PNG Image":

Кнопки

Для того, чтобы изменить размер молекул, необходимо изменить коэффиициент увеличения, расположенный в самом низу инструмента Ketcher, рядом с библиотекой SL (для разных компьютеров и браузеров он может сильно отличатся):

Кнопки



Кнопка со смайлом позволяет ввести структуру молекулы в формате SMILES и получить отрисовку в документе.



Кнопка со стрелочкой и текстом над ней позволяет вводить условия реакции:

Кнопки

В редакторе можно не опускать индексы в химическом уравнении, они будут опущены автоматически (после нажатия на кнопку "Печать"):

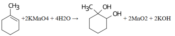
Пример реакции в редакторе:

Кнопки

Пример реакции после печати (индексы опущены):

+ 2KMnO4 + 4H2O -> + 2MnO2 + 2KOH


Стрелочки находятся на панели редактирования (пример на видео):

Кнопки

-> Также стрелочку можно напечатать с помощью одного или двух минусов и знака "больше" (они хорошо сцепляются при работе на сайте, однако при сохранении в html или печати эти стрелочки зачастую распадаются на набор исходных символов, т.к. для корректной работы необходима подгрузка внешнего шрифта):
--> 3H2+N2<->2NH3 <- <--

В настоящий момент, редактор позволяет подредактировать любой материал перед выводом на печать в мастере печати, а также документ можно сохранить локально, у себя в браузере, нажав кнопку `Сохранить` внизу. Тогда этот документ будет открываться каждый раз при входе на страницу редактора Альтернативно, можно сохранить под другим названием, нажав кнопку `Сохранить как`.

Возможность публикации авторских статей на сайте chemrise.ru предоставляется бесплатно любому пользователю, прошедшему аутентификацию (ограничение на размер страницы составляет 3 мегабайта, количество страниц - не более 20).

Наши новостиВернуться на главную страницу

М.О.